Конденсаторы для аудио из СССР

  • Автор темы Автор темы LDS
  • Дата начала Дата начала
Вот твердолобые, написал же есть конденсаторы МБГП 160 вольтовые
2021.07.06 09-27-17.jpg


Похоже, никто в упор не хочет видеть, что у одних конденсаторов с фазой всё чисто, а у других - грязь.
Тоже писал что не ставят такие кондеры на высокие частоты потому что имеют индуктивность потому и крутят фазу. И "голос" от них глухой.
 
Никитич, в табличке указано качество "ОС" - а где оно на фото, на одёжке того конденсатора? Нетути!
"ОС" всегда печаталось перед маркой конденсаторов спецназначения.
Сама табличка для конденсаторов "военки".

Изьмерьте-ка его ипеданс с частотй. Килогерц так до двухсот. Вот и выяснится, какой у них "голос".
Неплохо бы рядом приложить фазу (или импеданс) ВЧ головки.
 
ОС - особая приемка а вольты вольтами.
Зачем я буду мерить если на предыдущей странице есть замеры. Сережа вот не надо ля ля...
 
ОС- Особо Стойкие. Это для "войны". У меня и на эмальпроводе есть такая метка (ПЭТ-ИМИД-ОС). Ну и хде обозначение? Его всегда лепили.
Надо бы присовокупить импеданс и фазу электролитов из импортных крутых АС. Их там ставили во множестве.
 
Пусть будут особо стойкие а напруга то причем.smile_33 Тут http://www.155la3.ru/mbgp.htm был?
Вот еще фото из сети, скажите тоже буква О подтерлась, или 1600В подтерлось в 160В. Да каких только не делали отклонений от ТУ....
1619074163.jpg
 
Последнее редактирование модератором:
"...Вследствие этого металлобумажный конденсатор обладает малой собственной индуктивностью..."
Судя по ссылке - МБГП родоначальники всех металлобумажных в герметизированных прямоугольных корпусах.
Т.е. грубо говоря, что МБГО на 160 В, что МБГП - без разницы.
 
ВЧ - забудьте насовем МБГО, ОС и пр.
МКР китайский лучше этой бумаги...
 
Лучшими в мире были импортные АС, с электролитами.
А как собирали за бугром фильтры АС, любо-дорого посмотреть.
Вот хотя бы взять фильтр одной из лучших АС ХХ века, Fisher STE-1200.
 
Последнее редактирование:
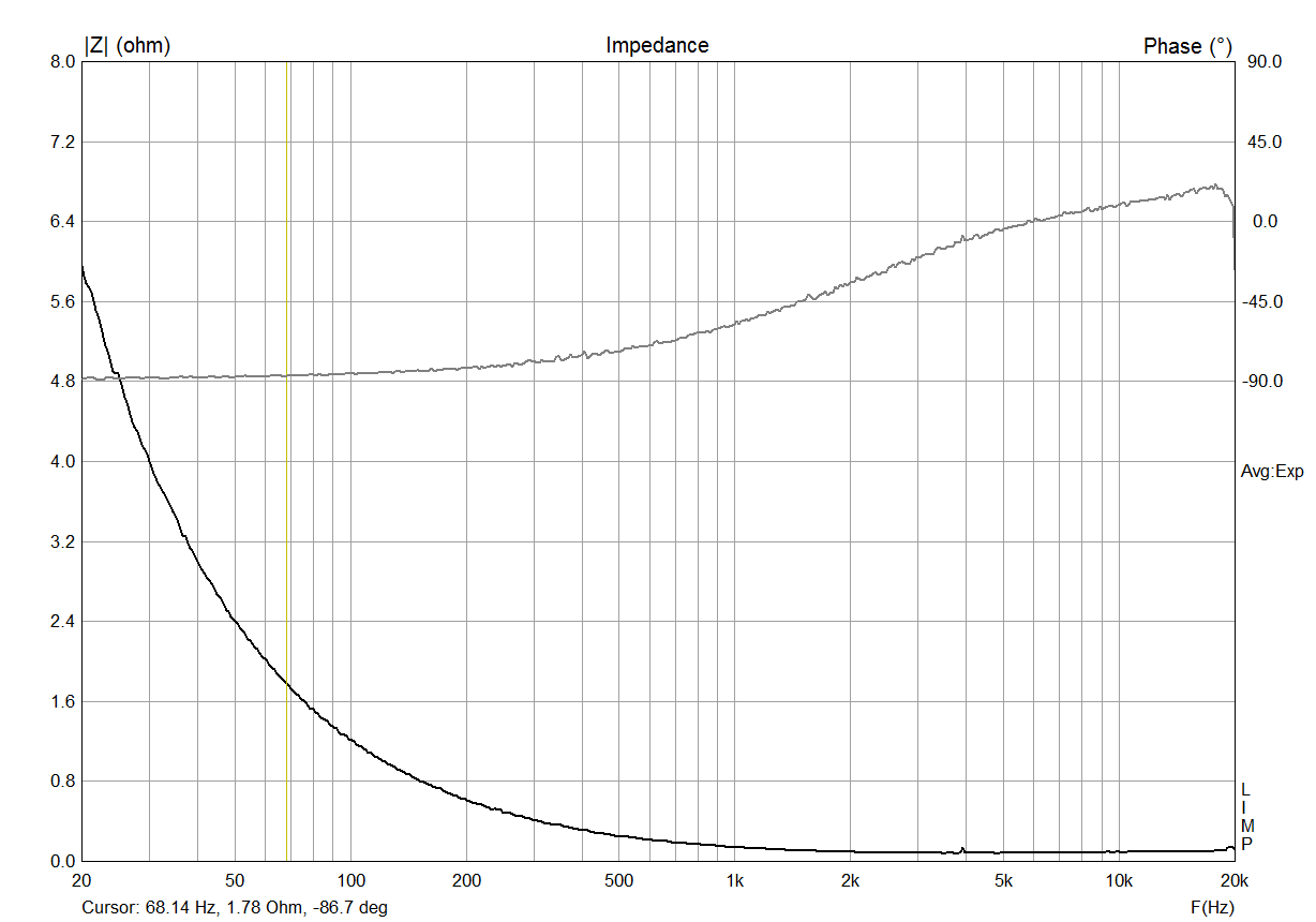
Что случилось с фазой на 4 кГц?
Вспомнил, да там и написано, измерял розовым шумом, 10 или 20 раз ставил, показывает усредненное значение. Если провести шагом (что дольше) возможно будет ровная линия.

Да. Перемерял тот же конденсатор. Вот что на розовом шуме:
2.png
А это шаговым:
Img.png

Но, все же есть конденсаторы на которых даже при розовом шуме таких выбросов нет.
 

Вложения

Последнее редактирование:
КБГ-МН 2 мкФ/1000 В
КБГ-МН 4 мкФ/1000 В
КЭГ-2 1000 мкФ/30 В (пара)
МБГО 20 мкФ/500 В

МБГЧ-1 10 мкФ/250 В (пара)
IMG_0717-min.jpg

На розовом шуме показывает разные бяки выше 2 кГц, я решил провести измерения именно на нем с числом повторений - 20. Програмные файлы как всегда в архиве.
Шаговым, фаза будет идеально ровной, без выбросов.

КБГ-МН 2 мкФ/1000 В:
КБГ-МН 2мкФ 1000 В.png

КБГ-МН 4 мкФ/1000 В:

КБГ-МН 4мкФ 1000 В.png

КЭГ-2 1000 мкФ/30 В (1):
кэг-2 1000мкф 30в (1).png

КЭГ-2 1000 мкФ/30 В (2):
кэг-2 1000мкф 30в (2).lim.png

МБГО 20 мкФ/500 В:
мбго 20мкф 500в.png

МБГЧ-1 10 мкФ/250 В (1):
мбгч-1 10мкф 250в (1).png

МБГЧ-1 10 мкФ/250 В (2):
мбгч-1 10мкф 250в (2).png
 

Вложения

Последнее редактирование:
У совершенно разных типов одна и та же бяка на 4 кГц. Даже на КЭГ зубчик имеется. Что это может быть?
 
У совершенно разных типов одна и та же бяка на 4 кГц. Даже на КЭГ зубчик имеется. Что это может быть?
Измерилка кривая возможно. Но, повторюсь, на некоторых конденсаторах она не такая заметная. Если мерить шагом, то там будет идеальная линия.
 
Не помню, спрашивал: к75-10 2.2х250 зеленые монстры "в куда подойдут" лучше всего?
 
Да куда угодно, фоть в фильтры мощных АС, хоть в межкаскадные, под лампу.
Герметизированные, высокое сопротивление изоляции, мало меняющееся со временем.
В общем, отличные конденсаторы.
 
Да куда угодно, фоть в фильтры мощных АС, хоть в межкаскадные, под лампу.
Герметизированные, высокое сопротивление изоляции, мало меняющееся со временем.
В общем, отличные конденсаторы.
Бумажка с напылением и прослойка лавсана. В моторы самое то. А в звук ставить- ниже достоинства.
Вся их радость-валяются, не берет никто, по цене утиля.
 
Бумажка с напылением и прослойка лавсана. В моторы самое то. А в звук ставить- ниже достоинства.
Да прям, ниже достоинства. Высоко-достойно тратить бабло на точно такое же изделие забугорное.
Во так и звучат зелёные спинки, в обработанных мозгах.
Самогипноз имхами великое дело.
Вся их радость-валяются, не берет никто, по цене утиля.
Вот и замечательно. Тем. кто в теме, есть возможность купить весчь задёшево.

На СЧ/ВЧ звено в фильтр АС, мощностью за 100 Вт.
Как межкаскадный в ламповый усь с низкоомным драйвером и питанием 250 В, для мягкого захода в сеточные токи.
Запасся аксиальными К75-24, 1мкФх630В. Диаметр 22, длина 52 мм, компактный.
Ещё есть в закромах К75-24 - 0,68мкФх630В, диаметром 18 мм.
Как раз вот для таких случаев.
 
МБГЧ на ~250в, а постоянка =350в лучше их на порядок
 
Да прям, ниже достоинства. Высоко-достойно тратить бабло на точно такое же изделие забугорное.
Во так и звучат зелёные спинки, в обработанных мозгах.
Самогипноз имхами великое дело.

Вот и замечательно. Тем. кто в теме, есть возможность купить весчь задёшево.
Прекрасно обхожусь нашими емкостями из Петербурга, К78-19 для акустических фильтров и к78-37 в межкаскадники ламповых схем. Прекрасный баланс цены и качества. И убеждать себя про волшебные звуковые свойства всякого шлака не нужно.
 
Прекрасно обхожусь К78-19 для акустических фильтров. Прекрасный баланс цены и качества.
Это они?
7819.png

Цена доступная, но не скажу, что низкая, особенно для отечественного изделия. Знать бы ещё что СЛЫШНО как данные конденсаторы лучше китайского полипропилена или отечественных К73-16.
Может на хиенде это явно заметно, а на колонках среднего качества, которые Мы (но не Вы) собираем как?
 
У наших к78-19 ряд неполный, нет ходовых номиналов 2.7 мкф, 3, 9 мкф. А надо. Всякие Янтцины или Мундорфы дело хорошее, только можно посинеть, дожидаючись.
 
МБГЧ на ~250в, а постоянка =350в лучше их на порядок
У 250-вольтового МБГЧ (10мкф) такие допустимые паспортные пределы переменногго напряжения от частоты:
100 Гц - 125 В;
1 кГц - 45 В;
10 кГц - 12 В.
То же, для К75-10, 250Вх10мкФ:
100 Гц - 188 В;
1 кГц - 68 В;
10 кГц - 17 В.
То же, для куда более удобного в монтаже , чем МБГЧ, аксиального К75-24, 400Вх1,5мкФ:
100 Гц - 300 В;
1 кГц - 108 В;
10 кГц - 20 В.
И близко не будет таких переменных напряжений, в межкаскадье, на этих частотах, в ламповом усилителе с питанием под 400 В.

95 % слушателей не отличат "звучание" хорошо так, нагруженного электролита, в фильтрах АС от любой плёнки. А мы здесь и там изводим себя никчемными имхоспорами ни об чём.
Есть ли разница, какая оглобля на сколько микрон длиннее другой, если сравнивать их с огрызком карандаша?
 
Последнее редактирование:
Настаиваю на ультравысоком качестве "Orange Line" того же завода, что и в сообщении выше (Кузнецкого), в том числе и в качестве межкаскадных в усилителях. К сожалению, купить их становится все сложнее.
 
К78-2, 315в переменка, и 440в постоянка
IMG_1899.jpg
 
Последнее редактирование модератором:
Зависимость допустимой амплитуды напряжения от частоты из разных справочников. И это частотный конденсатор а что говорить о простых, поэтому и писал ранее что в секции ВЧ им нет места..
Cравнение конденсаторов в кроссовере АС.
U_F.pngUэфф от F.png
 

Вложения

Последнее редактирование модератором:
Зависимость допустимой амплитуды напряжения от частоты из разных справочников. И это частотный конденсатор а что говорить о простых, поэтому и писал ранее что в секции ВЧ им нет места..
Cравнение конденсаторов в кроссовере АС.
Судя по графику конденсаторы на 20 кГц вообще работать не будут в качестве межкаскадных_разделительных. А на самом деле их ставят и они работают. Где правда?
 
Уважаемые, Вы немного путаете. Заранее извиняюсь за студиоз. Это графики допустимого напряжения на конденсаторе если он подключен параллельно источнику переменного напряжения (например, как помехоподавляющий фильтр питающей сети переменного тока), то есть то напряжение которое присутствует на конденсаторе. Теперь представим работу конденсатора, например, в LC-фильтре НЧ головки акустической системы. При увеличении частоты сигнала сопротивление катушки индуктивности возрастает, а сопротивление конденсатора падает, поэтому получается делитель напряжения переменного тока зависимый от частоты, и на конденсаторе на средних и высоких частотах (звуковых) напряжение составляет единицы, и даже доли вольт, что гораздо ниже тех напряжений допустимых по графикам. Поэтому конденсаторы в фильтрах будут работать без проблем.

Судя по графику конденсаторы на 20 кГц вообще работать не будут в качестве межкаскадных_разделительных. А на самом деле их ставят и они работают. Где правда?
Если взять разделительный конденсатор на 0,1 мкФ и сеточный резистор 330 кОм получится следующее. Реактивное сопротивление конденсатора на частоте 20 кГц равно 80 Ом, если представить что на разделительный конденсатор (например с драйвера) поступает переменное напряжение 200В, то по принципу делителя на конденсаторе будет падать 48 мВ, а остальные 199,52В идут на сеточный резистор (выходной лампы, например). Поэтому эти графики можно не рассматривать при работе конденсаторов в качестве разделительных. Здесь главное это допустимое напряжение постоянного тока конденсатора. Есть только один нюанс, допустимое напряжение постоянного тока конденсатора должно превышать сумму напряжений постоянного тока прикладываемого к конденсатору и амплитудному напряжению переменного тока поступаемого на конденсатор. Допустим на аноде драйвера к которому подключен конденсатор 200В, напряжение переменного тока на аноде драйвера 100В, соответственно амплитуда 140В. Следовательно 200В+140В=340В, отсюда следует напряжение конденсатора должно быть не менее 400В, и не менее питающего напряжения драйвера, так как при включении пока лампа не разогрета все питающее напряжение приложено к конденсатору.
 
Как бы то ни было, потери есть и их слышно, это не смена проводов которую не все ощущают.
Снижение емкости от частоты.jpg
 
Последнее редактирование модератором:
Для БП ESR важно на высоких частотах (больше 10кГц), а также для получения больших ударных токов. В импульсных БП пульсации рассчитываются через ESR, в БП с сетевой частотой через емкость. Если использовать его в ламповых схемах, то его ESR относительно нагрузки мизер, поэтому без проблем будет работать, для низковольтных транзисторных усилителей конечно ESR многовато, поэтому думаю его применение в БП с сетевой частотой ламповых и транзисторных схем на напряжение 200 - 300В.
 
Добавлю...пойдут в АС на ВЧ
Вес аж 490 гр. размер диам. 60мм длина 100мм
IMG_20210801_130419[1].jpg
 
Последнее редактирование модератором:
Одни лучших для кросса. особенно на СЧ,ВЧ - К71-4В. Габариты правда впечатляют)) Довелось купить по 4 рубля (!). Когда мне вывезли посылку на вилах эл.кара очень удивился)) 5шт. конденсаторов , это 1 кг!
P1010763.JPGP1010760.jpg
 
Последнее редактирование модератором:

Статистика форума

Темы
3,334
Сообщения
268,220
Пользователи
2,564
Новый пользователь
HOlg
Назад
Сверху Снизу