LDS
1 paнг
- Регистрация
- 5 Июл 2019
- Сообщения
- 5,026
- Реакции
- 3,130
- Репутация
- 145
- Возраст
- 38
- Имя
- Дмитрий
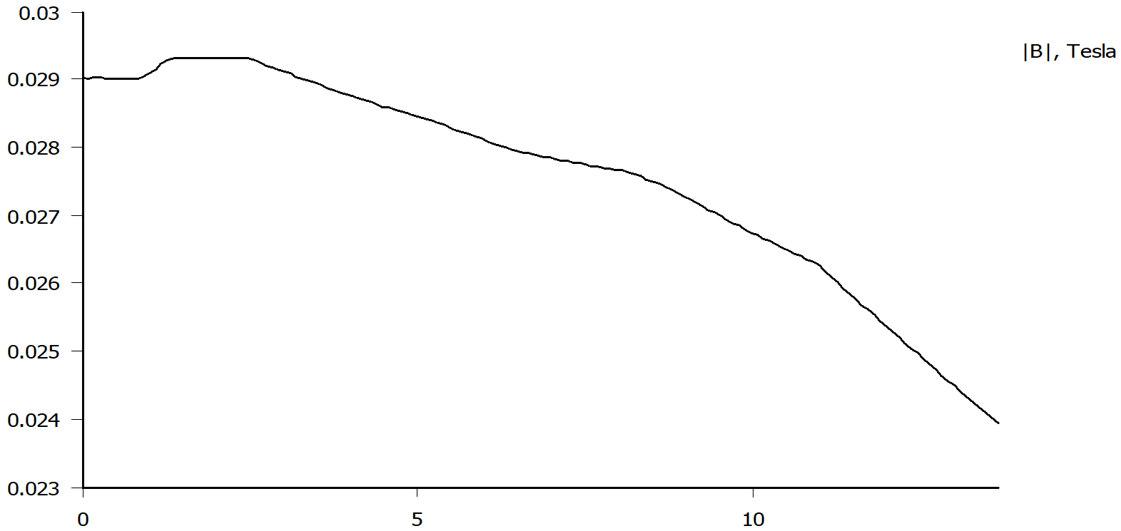
Построить макет магнита, указать его марку и маркером можно смотреть в любых точках.Я просмотрел, но не увидел в примерах, как можно посмотреть индукцию в определенном отдалении от лицевой части магнита. У меня максимально простая задача по сути, но читать тонну информации ради её решения - это очень нецелесообразно. У меня есть один магнит определенной ширины и диаметра, мне нужно смоделировать его и померить индукцию перпендикулярно этому магниту на разных расстояних. Это все.

)