LIMP software - измерение импеданса/фазы

KSV

1 ранг
Регистрация
10 Июн 2020
Сообщения
6,964
Реакции
7,211
Репутация
254
Страна
Россия
Город
Москва
Имя
Сергей
1) Закоротил щупы и показывает сопротивление 0,3 Ом, ставлю погрешность на кабель 0,3 Ом, а программа выдает все те же 0,3 Ом. Что -то делаю не так?

2) Привожу измерения.
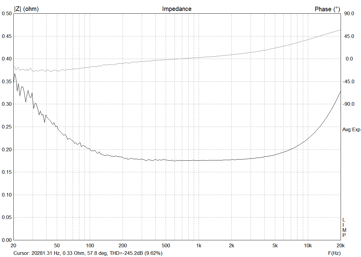
Закороченные щупы, без погрешности, т.е. 0 Ом и 0 нГн (линейный вход):
Закороченные щупы,с погрешностью на кабель 0,3 Ом и 2000 нГн:
Закороченные щупы,с погрешностью на кабель 0,3 Ом и 2000 нГн: (микрофонный вход):
1) Красно-синий флажок в основном окне программы вдавлен?
2) Жуть и не норма. Подумал на микрофонный вход, но такое безобразие даже на линейном...
Мне не нравится "грязь" на НЧ. Или помехи от плохих неэкранированных шнуров или плохие контакты в разъемах...
3) Попозже, если нужно (пока не могу) подробно покажу что у меня.
Но пока мне это не нравится. Картинки очень мелкие, видно плохо.
Может это т не особо сказывается на результатах настоящих измерений, но что-то не в порядке, это тревожит.
 

LDS

1 paнг
Регистрация
5 Июл 2019
Сообщения
5,026
Реакции
3,130
Репутация
145
Возраст
38
Имя
Дмитрий
1) Красно-синий флажок в основном окне программы вдавлен?
Я понял, нужно было галочку поставить. Переделаю измерения.
Или помехи от плохих неэкранированных шнуров или плохие контакты в разъемах...
К входу идут неэкранированные провода, длинной 80 см.
Картинки очень мелкие, видно плохо.
Как это мелкие? Они на весь экран разворачиваются. Вы нажимали на них?
 

KSV

1 ранг
Регистрация
10 Июн 2020
Сообщения
6,964
Реакции
7,211
Репутация
254
Страна
Россия
Город
Москва
Имя
Сергей

OSB37

Новый
Регистрация
30 Май 2020
Сообщения
17
Реакции
3
Репутация
17
Страна
Россия
Имя
Сергей
Закоротил щупы и показывает сопротивление 0,3 Ом, ставлю погрешность на кабель 0,3 Ом, а программа выдает все те же 0,3 Ом. Что -то делаю не так?
Похоже программа в установках не понимает запятых (0,3 не знает, но хорошо понимает0.3), во всяком случае смог компенсировать провода точкой, попробуйте.
 

LDS

1 paнг
Регистрация
5 Июл 2019
Сообщения
5,026
Реакции
3,130
Репутация
145
Возраст
38
Имя
Дмитрий
Похоже программа в установках не понимает запятых (0,3 не знает, но хорошо понимает 0.3), во всяком случае смог компенсировать провода точкой, попробуйте.
Я это уже менял, но не выходило.
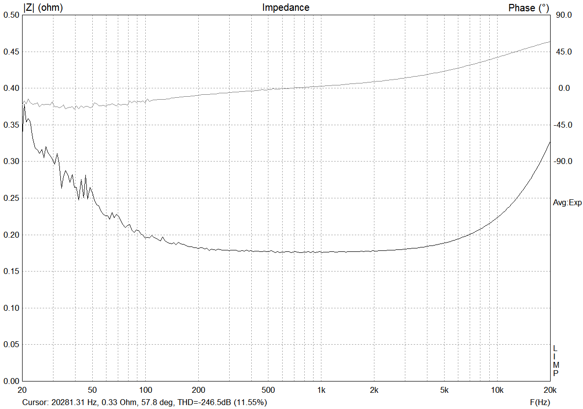
Я просто не нажал галочку. Вот калибровка с закороченными щупами:
калибровка правильная.png
 

KSV

1 ранг
Регистрация
10 Июн 2020
Сообщения
6,964
Реакции
7,211
Репутация
254
Страна
Россия
Город
Москва
Имя
Сергей
Вот калибровка с закороченными щупами:
Смущает свистопляска фазы на 20...30 Гц и вообще, фаза от нуля до ВЧ у меня горизонтальна, загиб начинается на самом верху.
 

LDS

1 paнг
Регистрация
5 Июл 2019
Сообщения
5,026
Реакции
3,130
Репутация
145
Возраст
38
Имя
Дмитрий
Смущает свистопляска фазы на 20...30 Гц и вообще, фаза от нуля до ВЧ у меня горизонтальна, загиб начинается на самом верху.
Возможно качество аудиокарты не лучшее.
 

KSV

1 ранг
Регистрация
10 Июн 2020
Сообщения
6,964
Реакции
7,211
Репутация
254
Страна
Россия
Город
Москва
Имя
Сергей
Возможно качество аудиокарты не лучшее.
Сомневаюсь, проблемы обычно на ВЧ. И я еще понял бы 50 и 100 Гц, но разброд и шатание фазы на самых низких частотах мне непонятно.
А посему советую сделать обрезание в настройках не на 20, а на 30-ти или 40-ка герцах. Раз при измерении 8,2 Ом всё нормально и фаза на резисторе - прямая линия, то на блох при замыкании можно наплевать и забыть.
 

LDS

1 paнг
Регистрация
5 Июл 2019
Сообщения
5,026
Реакции
3,130
Репутация
145
Возраст
38
Имя
Дмитрий
Сомневаюсь, проблемы обычно на ВЧ. И я еще понял бы 50 и 100 Гц, но разброд и шатание фазы на самых низких частотах мне непонятно.
А посему советую сделать обрезание в настройках не на 20, а на 30-ти или 40-ка герцах. Раз при измерении 8,2 Ом всё нормально и фаза на резисторе - прямая линия, то на блох при замыкании можно наплевать и забыть.
Ок. Я вот что думаю, у меня измерения емкости оптимально на частотах 100-5000 Гц правда. Индуктивность на 3000-5000 Гц, там фаза максимально +90 град. Сегодня мерял детали в конкретных диапазонах, чтобы не ждать все полосу. Это можно считать верным решением?
 

KSV

1 ранг
Регистрация
10 Июн 2020
Сообщения
6,964
Реакции
7,211
Репутация
254
Страна
Россия
Город
Москва
Имя
Сергей
Сегодня мерял детали в конкретных диапазонах, чтобы не ждать все полосу. Это можно считать верным решением?
Не совсем понял о чем речь - не вижу смысла сильно сужать частотный диапазон - ведь скорость не изменится.
Думаю, лучше всего попрактиковаться на разных деталях, набить руку.
Если есть хороший отдельный измеритель, посравнивать с ним.
Короче, набить руку. Это не основная, но полезная функция программы.
 

LDS

1 paнг
Регистрация
5 Июл 2019
Сообщения
5,026
Реакции
3,130
Репутация
145
Возраст
38
Имя
Дмитрий
Не совсем понял о чем речь - не вижу смысла сильно сужать частотный диапазон - ведь скорость не изменится.
Думаю, лучше всего попрактиковаться на разных деталях, набить руку.
Если есть хороший отдельный измеритель, посравнивать с ним.
Короче, набить руку. Это не основная, но полезная функция программы.
Показания сходятся. Катушка на частоте 3000 Гц, емкость на частоте 100 Гц.
Т.е. для индуктивности ставлю диапазон 2000-5000 Гц, для емкости 80-200 Гц.
Так как на этих частотах все показания покажет, а смотреть полный диапазон смысла нет. Или я не прав?
 

KSV

1 ранг
Регистрация
10 Июн 2020
Сообщения
6,964
Реакции
7,211
Репутация
254
Страна
Россия
Город
Москва
Имя
Сергей
Показания сходятся. Катушка на частоте 3000 Гц, емкость на частоте 100 Гц.
Т.е. для индуктивности ставлю диапазон 2000-5000 Гц, для емкости 80-200 Гц.
Так как на этих частотах все показания покажет, а смотреть полный диапазон смысла нет. Или я не прав?
ЗАЧЕМ делать лишние телодвижения по изменению диапазона?
Проще выбрать нужную частоту по форме кривой и сдвигу фазы.
Автор в описании программы не советует сужать диапазон, правда это в основном касается точности.
Сузить диапазон, наверное, стоит если в нем явная систематическая ошибка, как на графике Z выше от 20 до 30 Гц, там и несколько выше странные вещи.
Нельзя задать один диапазон для измерений ёмкости или индуктивности. Этот диапазон напрямую зависит от величины ёмкости и индуктивности.
Полный диапазон мы смотрим на АЧХ, а здесь нас интересует конкретная область во всем широком диапазоне.
Кстати, "лишний" диапазон бывает полезен - я запомнил, что у моих конденсаторов Аудиофиллер одной конкретной ёмкости 10 мкФ какая-то ерунда на умеренно высоких частотах. Причину я пока не нашел, но подозреваю, что при прослушивании на хорошем тракте, будет слышно что-то не то. И найти причину будет практически невозможно.
 

LDS

1 paнг
Регистрация
5 Июл 2019
Сообщения
5,026
Реакции
3,130
Репутация
145
Возраст
38
Имя
Дмитрий
Наушники KOSS UR-20 (черный импеданс, серый фаза). Надеты на подушку:
ur20_master.jpg
наушники.png
 

KSV

1 ранг
Регистрация
10 Июн 2020
Сообщения
6,964
Реакции
7,211
Репутация
254
Страна
Россия
Город
Москва
Имя
Сергей
За такую цену баса у них нет
Известно, что между басом от наушников и басом от колонок есть разница. Бас человек нормально воспринимает не столько ушами, сколько "ливером". Эффект совсем разный. Наверное, это "доисторически" оправдано.
Злые языки утверждают, что женщины любят сидеть на самбухерах потому, что это вызывает приятные вибрации специфических чисто женских органов.
Наушники вообще отдельная и интересная тема, во многом это вкусовщина, лучше эту тему не трогать.
 

LDS

1 paнг
Регистрация
5 Июл 2019
Сообщения
5,026
Реакции
3,130
Репутация
145
Возраст
38
Имя
Дмитрий
Замыканием щупов и прогонкой свип тоном возможно проверить измерительный тракт на линейность?
 
Регистрация
12 Ноя 2019
Сообщения
28,303
Реакции
13,621
Репутация
395
Известно, что между басом от наушников и басом от колонок есть разница. Бас человек нормально воспринимает не столько ушами, сколько "ливером". Эффект совсем разный. Наверное, это "доисторически" оправдано.
Злые языки утверждают, что женщины любят сидеть на самбухерах потому, что это вызывает приятные вибрации специфических чисто женских органов.
Наушники вообще отдельная и интересная тема, во многом это вкусовщина, лучше эту тему не трогать.
Тело резонирует на разных басовых частотах, 35-40Гц - звучат в грудной клетке, а 100гц- по башке кувалдой . Видимо, поэтому кувалду по башке и считают басом , слышно лучше и заметнее.
 
Регистрация
12 Ноя 2019
Сообщения
28,303
Реакции
13,621
Репутация
395
Замыканием щупов и прогонкой свип тоном возможно проверить измерительный тракт на линейность?
Обычно так и делается всегда. Более того, можно сочинить поправочный файл для высшей линейности измерилки. Только и свип- тон бывает разный, по скорости развертки, из-за чего линия может уйти с горизонтали. Поэтому выбираем режим. в котором отображается наш свип. По крайней мере, в Спектре так.
 

LDS

1 paнг
Регистрация
5 Июл 2019
Сообщения
5,026
Реакции
3,130
Репутация
145
Возраст
38
Имя
Дмитрий
Сопротивление катушки индуктивности и конденсатора
На какой частоте мерять уже ясно, индуктивность - максимум +90 градусов; емкость -90 градусов.
А как быть с сопротивлением? В разных программах моделирования фильтров указывается сопротивление катушки индуктивности и конденсатора. В данной программе на каждой частоте оно разное. То какая частота является оптимальной для таких показания (емкости и индуктивности)?
 
Регистрация
12 Ноя 2019
Сообщения
28,303
Реакции
13,621
Репутация
395
сложный ответ. Катушка - её импеданс складывается из омического и индуктивного сопротивлений, а конденсатор- там емкостное и внутренние потери. На схемах часто омическое катушек рисуется рядом добавочной сосиской.
 

LDS

1 paнг
Регистрация
5 Июл 2019
Сообщения
5,026
Реакции
3,130
Репутация
145
Возраст
38
Имя
Дмитрий
сложный ответ. Катушка - её импеданс складывается из омического и индуктивного сопротивлений, а конденсатор- там емкостное и внутренние потери. На схемах часто омическое катушек рисуется рядом добавочной сосиской.
Ну хорошо, так как тогда с индуктивностью?
 

KSV

1 ранг
Регистрация
10 Июн 2020
Сообщения
6,964
Реакции
7,211
Репутация
254
Страна
Россия
Город
Москва
Имя
Сергей
Ну хорошо, так как тогда с индуктивностью?
Была у нас в МЭИС спецдисциплина ТЛЭЦ (теория линейных электрических цепей), изучали это дело долго и учебники были толстые. Объяснить всё в одном абзаце немыслимо. Я малость поискал в интернете, вот наиболее простая страничка.
На пальцах. R - ток и напряжение через него протекают в фазе т. е. "две синусоиды тока и напряжения" на резисторе совпадают (амплитуда ясно дело у каждой своя и в разных единицах), С - ток опережает напряжение на 90 гр. (градусов), синусоиды сдвинуты, L - ток отстает от напряжения т. к. запутывается в витках катушки. При последовательном соединении RL или RC (чаще всего в наших фильтрах) ток в цепочке одинаков как по величине, так и по фазе во всех элементах последовательной цепи (напряжение на каждом элементе своё и зависит от сопротивления R, L, или С на конкретной частоте, на другой частоте всё будет по другому).
Каков же суммарный сдвиг фазы у последовательной RC или LC цепочки? А он зависит от того чьё сопротивление (а значит и напряжение) на данной частоте выше.
Например (см. рис. 2 по ссылке). Маленькое R и большая L - командует парадом L и сдвиг около 90 гр. Если L очень мала и сопротивление её гораздо меньше R то сдвиг фаз будет около нуля.
На рис. 3 RC цепь. У больших С сопротивление малО (чем больше С, тем меньше сопротивление), поэтому большая С включенная последовательно с нагрузкой мало крутит фазу и делает это только на низких частотах.
Аналогично и логично, что маленькая L мало сбивает фазу и просыпается только на ВЧ.
Отсюда в RC и LC цепочках сдвиг по фазе никогда не будет точно +90 или -90 гр. Он всегда немножко меньше.
Измерения надо делать при сдвиге фазы около 90 гр.
С динамиками всё сложнее - их эквивалентная схема гораздо сложнее, чем простейшая RC или RL цепочка.
Сознательно примитивно и с упрощениями, в дебри лезть не хочу.
P.S. Замечания по измерениям #122 - не сделана калибровка, поэтому фаза вместо вальяжно-плавной, лживая истерически- прямоугольная.
 

LDS

1 paнг
Регистрация
5 Июл 2019
Сообщения
5,026
Реакции
3,130
Репутация
145
Возраст
38
Имя
Дмитрий
P.S. Замечания по измерениям #122 - не сделана калибровка, поэтому фаза вместо вальяжно-плавной, лживая истерически- прямоугольная.
Да кнопка не была нажата.

Но вопрос так и не раскрылся. Об этом я уже причитал ранее из ваших ответов.
 

KSV

1 ранг
Регистрация
10 Июн 2020
Сообщения
6,964
Реакции
7,211
Репутация
254
Страна
Россия
Город
Москва
Имя
Сергей
Но вопрос так и не раскрылся.
А какой вопрос? То что касалось меня, я уже три раза ответил.
Лучше всего, как Вы и сделали - взять RC цепочку, пусть 8 Ом и 10 мкФ и измерить (что вы и делали). Пощёлкать в разных точках на разных частотах. Вот только не надо путать сопротивление у конденсатора с ESR. ESR измеряется на десятках кГц (на память от 30 до 70 кГц) и к нашим задачам отношения не имеет.
Кроме того, если не ошибаюсь, автор рекомендует измерять RLC по отдельности. С этим программа LIMP вполне справляется (диапазон величин используемых в акустических фильтрах).
Само собой, конденсатор или катушка имеют разное сопротивление на каждой частоте, смысл о сопротивлении имеется только для резистора - у него оно от частоты зависеть не должно.
 

Юрий

2 ранг
Регистрация
17 Фев 2020
Сообщения
537
Реакции
216
Репутация
27
Страна
Украина
Город
Краматорск
Да, само собой, поэтому я и советую К174УН14 или что-то подобное с разделительным выходным конденсатором.
Усилители с мостовым выходом (а это обычно класс D) я не советовал, да и смысла в них нет - рабочий режим пшики в несколько секунд, нагрев микросхемы минимальный (во многих, кстати, защита) и радиатора от балды ну 10...15 кв.см. хватит с запасом.
В данном случае УНЧ только трёхполюсники т. е. один вывод - вход, второй - выход, а третий - общий. На транзисторах собирать смысла нет. Нужна линейность 20...20000 Гц при мощности 1...4 Вт и всё.
Благодаря конденсатору на выходе, вход звуковой карты будет в безопасности даже если умудриться пожечь усилитель.

Рискну. Файлам, как и работающему по ним устройству лет, наверное, 10. Файлов много, отличаются незначительно и деталей я уже не помню, но принципиально всё рабочее и проверенное.
Вот общая схема измерений для программ LIMP-ARTA (не только для них, должно работать с другими подобными программами).
Посмотреть вложение 4965
Это только для общего понимания принципа.
В режиме LIMP сигнал на нагрузку поступает через резистор Rдоп, а в режиме ARTA резистор замкнут и всё напряжение поступает на динамик.

Вот более точная и правильная схема. Красные цифры соответствуют выводам на плате усилителя. Это удобно - все переключатели и разъемы подключены к плате, а не к друг другу.
Посмотреть вложение 4966

Положений переключателей - 4 , а рабочих режимов - 3.
1) LIMP и Калибр
2) LIMP и Изм
3) ATRA и Изм
комбинация ARTA и Калибр не используется.
Плату индикаторов уровня не советую - мне было непонятно, насколько на результат влияет уровень сигнала. Думал, что возможно надо выдерживать уровень 1 Вт. И интересовал уровень от микрофона т. к. уровень сигнала "в упор" и "с двух метров" колоссально разный. Оказалось, что разницы почти нет. И если индикатор уровня выходной мощности не влияет, то параллельно левому входу подсаживает его.

Рисунок платы. Взято у Fenix и чуть подправлено под свои детали. Есть и в формате lay
Посмотреть вложение 4969
Тонкими линиями - детали которые можно установить. Насколько помню, RC коррекция не понадобилась.
Собрал плату на К174ун14 по схеме, для проверки включил с лин. ПК нагрузка дин 2Вт. 1сек слышен звук нормальной громкости затем резкое уменьшение до еле слышимого.
Прошу подсказки: насколько изменить номиналы RC (на инверсном вх? Или я ошибаюсь?)
 

KSV

1 ранг
Регистрация
10 Июн 2020
Сообщения
6,964
Реакции
7,211
Репутация
254
Страна
Россия
Город
Москва
Имя
Сергей

Юрий

2 ранг
Регистрация
17 Фев 2020
Сообщения
537
Реакции
216
Репутация
27
Страна
Украина
Город
Краматорск
Юрий!
Боюсь, дело в блоке питания. Какое оно? Часом не "Крона"?
Блок питания импульсный от камеры видеонаблюдения. На контактах БП после включения ус были 12.3В.
Не знаю где взять напряж в контрольных точках схемы, чтобы проверить.
 

KSV

1 ранг
Регистрация
10 Июн 2020
Сообщения
6,964
Реакции
7,211
Репутация
254
Страна
Россия
Город
Москва
Имя
Сергей
Блок питания импульсный от камеры видеонаблюдения. На контактах БП после включения ус были 12.3В.
Не знаю где взять напряж в контрольных точках схемы, чтобы проверить.
На выходе микросхемы должно быть полпитания. Здесь - 6 В. Схема типовая, но надо учитывать, что питание однополярное!
Если так, то на 90% проблемы с питанием. Это если нет замысловатых ошибок в монтаже или схеме. Очень грубо здесь для выходной мощности нужен ток 100 мА на 1 Вт. Значит 300 мА хватит с запасом, это очень немного.
Для проверки надо взять нормальные неимпульсные 12 В и проверить.
Это могут быть и батарейки, например, последовательно 3 шт. литиевых 18650. Надо подать сигнал, синус, сделать так, чтобы динамик громко орал и измерить напряжение питания и потребляемый ток.
Сразу всё станет ясно.
Но схему надо было бы здесь показать, может там явная ошибка.
Сегодня я возился с одним усилителем и использовал самодельный генератор прямоугольных импульсов. Питание - "Крона" т. к. потребляемый ток менее 5 мА. Смотрю на осциллограф и глазам не верю - вместо меандра импульсы 1:5... В выключенном положении напряжение "Кроны" 8,6 В, во включенном 3,5 В при токе 1,5 мА...
Пробовал я запитать свой усилитель LIMP от подобного китайского импульсного БП на 12 В. Заявленный продавцом ток 3 А, по факту 1 А.
Мне и этого хватило бы, но он свистит и трещит, собака. И хотя на результат измерений это почти не влияет, но противно как-то.
Так что - схему в студию.
 

Последние сообщения

Статистика форума

Темы
3,073
Сообщения
235,070
Пользователи
2,375
Новый пользователь
Sergovlad
Сверху Снизу